14+ Paycheck Calculator Md Hourly


14 An Hour Is How Much A Year How To Fire


15 Word Payroll Templates Free Download


The Hourly Paycheck Calculator Netchex


8 Salary Paycheck Calculator Doc Excel Pdf


Free Hourly Paycheck Calculator Template Download In Word Google Docs Excel Google Sheets Apple Pages Apple Numbers Template Net


Anti Money Laundering Salary In Maryland Hourly Rate 2024


8 Hourly Paycheck Calculator Doc Excel Pdf


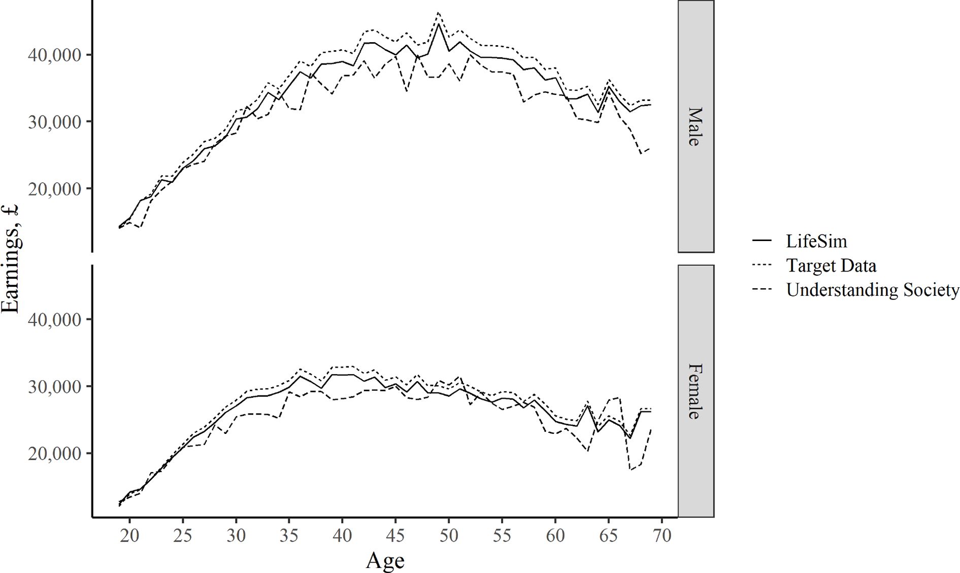
Lifesim A Lifecourse Dynamic Microsimulation Model Of The Millennium Birth Cohort In England International Journal Of Microsimulation


Hourly Rate Calculator Convert Your Salary To Hourly Wage


Payrollguru Ios Payroll Applications And Free Paycheck Calculators


Tmobile Salary In Baltimore Md Hourly Rate 2023 2023


13 Payroll Sheet Templates In Google Docs Word Pages Numbers Excel Sheets Pdf


Does This Mean They Want Me To Go To 3 Houses For 3 Separate Drop Offs R Instacartshoppers


Teaching Assistant Pay Rise Offer From April 2023 Announced Twinkl Digest


How To Calculate Employee Pay In Checkmark Payroll Software


Payroll Timesheet 15 Examples Format Pdf Examples


Paycheck Calculator Salary Or Hourly Plus Annual Summary Of Tax Holdings Deductions Free Amazon Com Appstore For Android


Maryland Paycheck Calculator Smartasset

Iklan Atas Artikel

Iklan Tengah Artikel 1

Iklan Tengah Artikel 2

Iklan Bawah Artikel